
Med effektiv ränta menas den totala kostnaden för en kredit.
Vad ingår i den effektiva räntan?
Vid uträkningen av den effektiva räntan tas hänsyn till alla kostnader för krediten, samt när betalningarna sker. Exempel på kreditkostnader som ingår i den effektiva räntan är räntor, avgifter och andra kostnader för ett lån. Den effektiva räntan tar också höjd för ränta-på-ränta-effekter, exempelvis i de fallen på betalningar sker flera gånger per år.
Effektiva räntan hjälper till att jämföra lån
Även om räntesatsen och avgiften är densamma mellan två olika lån, kan den effektiva räntan skilja sig åt. Detta beror på att det finns flera olika sätt att räkna ut ränta. Därför är det enklare att jämföra olika låneerbjudanden när man räknar om en räntesats till effektiv ränta. Räntesatsen för den ef fektiva räntan räknas ut som om den betalas en gång om året. Den effektiva räntan brukar också kallas för effektiv årsränta.
Relaterad läsning: Företagslån för enskild firma och aktiebolag – vi jämför!
Effektiv ränta vs. nominell ränta – vad är skillnaden?
En effektiv ränta inkluderar alla kostnader i lånet, medan en nominell ränta (eller nominell årsränta) istället brukar definieras som kostnaden för lånet, men utan de dolda avgifterna.
Den nominella räntan (ofta kallad nominell årsränta) är den du oftast ser när olika typer av lån presenteras. Enligt lag måste den effektiva räntan också presenteras i ett låneerbjudande. Oftast hittas dock uträkningen av den effektiva räntan i det finstilta, eftersom den räntesatsen oftast är högre än den nominella räntan. Den nominella räntan är ofta vilseledande när du jämför olika räntor, därför är det en bättre idé att jämföra den effektiva räntan istället.
Effektiv ränta formel
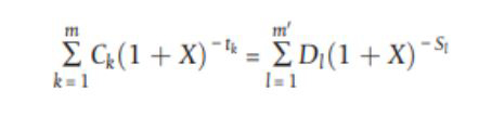
Själva uträkningen av den effektiva räntan är ganska komplicerad framförallt när det gäller betalning som betalas ut och återbetalas gång på gång. I korta drag handlar det om att göra en ekvation där nuvärdet av kreditbeloppet är lika med nuvärdet av alla belopp som kredittagaren betalar. Konsumentverket hänvisar till följande uträkningsmodell:
Effektiv ränta på engelska
Effective Interest Rate
Relaterade ord:
Ränta
Borgenär
Gäldenär
Leasing
Fakturabelåning
Factoring
I Ekonomiordlistan hittar du fler ekonomiska begrepp, termer och ord